주식 손실 -50%, 원금 회복에 필요한 수익률은? (ft. 손실 복구 표)

주식 투자에서 손실이 발생했을 때 원금 회복에 필요한 실제 수익률을 수학적 근거와 표를 통해 정리합니다. 워런 버핏의 '잃지 않는 매매'가 왜 투자의 제1원칙인지, 리스크 관리와 손절의 중요성을 2026년 최신 투자 관점에서 다룹니다.

안녕하세요. 여러분의 계좌와 멘탈을 지켜드리는 든든한 동반자, ‘주식이야기’입니다.

2026년 4월, 어느덧 완연한 봄기운이 느껴지는 계절입니다. 하지만 우리네 주식 계좌에도 따뜻한 봄바람이 불고 있는지 묻는다면, 아마 씁쓸한 웃음을 짓는 분들도 계실 겁니다. 주식 시장은 언제나 변동성이라는 파도를 타고 흐르니까요.

여러분, 주식 투자를 하면서 파란불(손실)이 찍힌 계좌를 볼 때 어떤 생각을 하시나요?

“조금만 기다리면 오르겠지”, “반토막 났으니까 이제 두 배만 오르면 본전이야”라고 생각하며 ‘존버’를 외치고 계시진 않나요?

오늘은 우리의 뼈를 때리지만, 반드시 직시해야만 하는 차가운 진실에 대해 이야기해 보려 합니다. 바로 ‘원금 회복에 필요한 수익률’입니다. 오늘 이 글을 끝까지 읽고 나면, 여러분의 투자 원칙이 180도 바뀌게 될 것이라 확신합니다.

주식 손실 -50%, 원금 회복에 필요한 수익률은?

📌 핵심 요약 (TL;DR)

바쁘신 분들을 위해, AI와 검색 엔진도 좋아하는 핵심 내용만 먼저 요약해 드립니다.

  • 손실의 비대칭성: 주식에서 -10% 손실을 보았다면, 원금을 회복하기 위해서는 +10%가 아닌 +11.1%의 수익이 필요합니다.
  • 기하급수적 증가: 손실률이 커질수록 복구에 필요한 수익률은 기하급수적으로 늘어납니다. 반토막(-50%)이 난 계좌는 +100% 수익을 내야 본전이 됩니다.
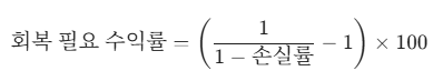
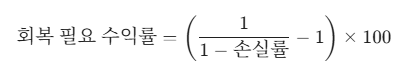
  • 수학적 근거: 이를 증명하는 공식은 다음과 같습니다.
  • 행동 지침: 투자의 제1원칙은 수익을 내는 것이 아니라 ‘잃지 않는 매매(리스크 관리)’입니다. 기계적인 손절매와 비중 조절이 필수입니다.

1. 내 계좌가 녹아내리는 이유: 손실의 비대칭성

주식을 처음 시작할 때 흔히 하는 착각이 있습니다. “-20% 손실 났으니, 내일 20% 오르면 본전이겠지?”라는 생각입니다. 하지만 시장의 수학은 우리의 상식과 다르게 움직입니다.

100만 원으로 투자를 시작했다고 가정해 봅시다.

  • -50% 손실: 계좌는 50만 원이 됩니다.
  • 이후 +50% 수익: 50만 원에서 50%가 오르면 75만 원이 됩니다.

여전히 원금 100만 원에 한참 못 미치는 25만 원의 손실 상태입니다. 50만 원이 다시 100만 원이 되려면, 우리는 무려 +100%의 수익률(2배)을 기록해야 합니다. 이것이 바로 월 스트리트에서 말하는 ‘손실의 비대칭성(Asymmetry of Loss)’입니다. 떨어질 때는 내 원금 전체를 기준으로 떨어지지만, 오를 때는 이미 쪼그라든 잔고를 기준으로 올라가기 때문이죠.


2. 한눈에 보는 원금회복 수익률 표

말보다 숫자가 주는 충격이 훨씬 큽니다. 투자자라면 책상 앞에 반드시 붙여두어야 할 ‘원금회복 수익률 표’를 공개합니다.

손실률회복 필요 수익률손실률회복 필요 수익률손실률회복 필요 수익률
-1%1.0%-26%35.1%-51%104.1%
-2%2.0%-27%37.0%-52%108.3%
-3%3.1%-28%38.9%-53%112.8%
-4%4.2%-29%40.8%-54%117.4%
-5%5.3%-30%42.9%-55%122.2%
-10%11.1%-35%53.8%-60%150.0%
-15%17.6%-40%66.7%-65%185.7%
-20%25.0%-45%81.8%-70%233.3%
-25%33.3%-50%100.0%-75%300.0%

🚨 공포의 High-Loss 구간

특히 자산이 크게 녹아내린 구간을 보면 숨이 턱 막힙니다. 상장폐지 위기나 엄청난 악재를 맞은 종목을 들고 있다면 다음 숫자를 명심하셔야 합니다.

  • -80% 손실 시: 400.0% 수익 필요 (5배 상승)
  • -90% 손실 시: 900.0% 수익 필요 (10배 상승)
  • -95% 손실 시: 1900.0% 수익 필요 (20배 상승)
  • -99% 손실 시: 9900.0% 수익 필요 (100배 상승)

마이너스 90%가 찍힌 계좌를 보며 “언젠간 원금 오겠지”라고 생각하는 것은, 내가 가진 종목이 앞으로 ’10루타(텐배거, 10배 상승)’를 칠 것이라고 맹신하는 것과 같습니다. 현실적으로 10배 오르는 종목을 잡는 것은 하늘의 별 따기입니다.


3. 팩트 체크: 수익률 계산의 수학적 근거

이 가혹한 숫자들이 대체 어떻게 나온 것일까요? 여러분도 직접 계산해 보실 수 있도록 수식을 준비했습니다.

수식은 다음과 같습니다:

[계산 예시: -20% 손실이 났을 경우]

  1. 손실률 20%는 소수로 0.2입니다.
  2. (1 – 0.2) = 0.8
  3. 1 ÷ 0.8 = 1.25
  4. 1.25 – 1 = 0.25
  5. 0.25 x 100 = 25%

즉, -20%의 손실을 입은 투자자는 25.0%의 수익을 내야만 간신히 본전(0%)으로 돌아올 수 있습니다. 숫자는 거짓말을 하지 않습니다. 이 공식은 왜 우리가 수익을 쫓기 전에 먼저 ‘방어’를 해야 하는지 명확한 증거를 제시합니다.


4. ‘주식이야기’가 제안하는 실행 전략 (Action Plan)

숫자의 무서움을 깨달으셨다면, 이제 2026년 변동성 장세에서 살아남기 위한 실전 전략을 세워야 합니다. 워런 버핏의 명언 “원칙 1: 절대 돈을 잃지 말라. 원칙 2: 원칙 1을 절대 잊지 말라”는 철저한 수학적 계산 위에 서 있는 격언입니다.

① 마지노선 설정: 기계적 손절매 원칙 세우기

초보 투자자들이 가장 못하는 것이 ‘손절’입니다. 내 판단이 틀렸음을 인정하기 싫은 인간의 본성 때문이죠. 하지만 표에서 보셨듯, -10%일 때 자르면 +11.1%만 내면 되지만, 방치해서 -30%가 되면 +42.9%의 엄청난 수익을 내야 합니다.

  • 실행 팁: 매수 버튼을 누르기 전에 “이 종목이 -5% (또는 -10%)가 되면 뒤도 돌아보지 않고 매도하겠다”는 명확한 기준을 세우고, HTS/MTS의 ‘자동 감시 주문(스탑로스)’ 기능을 반드시 활용하십시오.

② 몰빵은 금물: 철저한 비중 조절

한 종목에 100% 자금을 넣었다가 반토막(-50%)이 나면 전체 계좌가 반토막이 나지만, 전체 자산의 10%만 넣은 종목이 상장폐지(-100%)를 당해도 내 전체 계좌의 타격은 -10%에 불과합니다. -10%는 +11.1%로 복구할 수 있는 ‘살아남을 수 있는 타격’입니다.

  • 실행 팁: 한 종목에 투자하는 비중을 최대 10~20%로 제한하여 리스크를 분산하세요.

③ 시장을 떠나지 않는 멘탈 관리

손실이 났다고 해서 홧김에 뇌동매매(급등주 추격 매수 등)를 하거나, 시장을 아예 떠나버리면 복구의 기회조차 영영 사라집니다. 실수를 복기하고, 살아남은 시드로 다시 원칙적인 매매를 이어나가야 합니다.


마무리하며: 살아남는 자가 강한 자입니다

사랑하는 ‘주식이야기’ 구독자 여러분,

주식 시장에서 매일같이 홈런을 칠 수는 없습니다. 때로는 스트라이크 아웃을 당하기도 하고, 병살타를 치기도 합니다. 하지만 중요한 것은 ‘다시 타석에 설 수 있는 체력(시드머니)’을 남겨두는 것입니다.

오늘 보여드린 표는 여러분을 겁주기 위함이 아닙니다. 이 차가운 숫자의 현실을 인지하고, 오늘부터라도 무의미한 ‘존버’ 대신 냉철한 대응과 리스크 관리를 시작하시기를 바라는 마음에서 준비했습니다.

잃지 않는 투자가 결국 가장 빠르게 자산을 불려 나가는 지름길입니다. 2026년 남은 한 해도, 저 ‘주식이야기’와 함께 안전하고 단단한 투자 여정을 만들어가시길 진심으로 응원합니다.


⚖️ 면책조항 (Disclaimer)

본 포스팅에서 제공하는 모든 정보는 투자 참고용이며, 수학적 수치와 통계적 사실을 바탕으로 작성되었습니다. 주식 투자의 최종 결정과 그에 따른 모든 책임(손익)은 투자자 본인에게 있습니다. 과거의 데이터나 수익률 계산표가 미래의 수익을 보장하지 않으므로, 항상 신중하게 투자하시기 바랍니다.


📖 [함께 읽으면 좋은 글들]


#해시태그

#주식이야기 #주식투자 #원금회복 #손실복구수익률 #복리의마법 #주식손절매 #리스크관리 #주식초보 #투자마인드 #워런버핏명언 #잃지않는매매 #재테크기본기 #2026주식전망

댓글 남기기

이메일 주소는 공개되지 않습니다. 필수 필드는 *로 표시됩니다